El módulo hr_holidays es el módulo “base” en Odoo para gestionar las ausencias y las vacaciones de los trabajadores de la empresa. La instalación de este módulo implica la instalación en el sistema del módulo de gestión de Recursos Humanos (hr). En este post, se explicarán las características del módulo en la versión 13 de Odoo Community Edition (importante tenerlo en cuenta ya que algunas opciones pueden presentarse de forma distinta en otras versiones de Odoo).
Descripción general del módulo
Tras la instalación del módulo, aparecerá en un nuevo menú llamado ‘Ausencias’ que a su vez se compone de 5 sub-menús:

Estos sub-menús son los que vería un usuario con el rol de ‘Administrador’ del área de Ausencias (usando la nomenclatura empleada por Odoo), pero el acceso habitual que debería configurarse para un empleado “normal” mostraría simplemente el sub-menú ‘Mis Ausencias’ y quizás el sub-menú ‘Todos’ si se quiere permitir que los empleados vean la situación de sus compañeros.
A continuación, explicamos brevemente el propósito de las diferentes entradas de esos sub-menús:
- En Mis ausencias se presentarán las ausencias relacionadas con el usuario actualmente conectado a la aplicación: podrá verse en forma de calendario, podrá crear, modificar o eliminar todas sus solicitudes de ausencias y también sus peticiones de asignación de días/horas “libres” por el motivo que corresponda.

En la imagen anterior (Tablero de Mis Ausencias) puede verse cómo el usuario dispone de un contador en la parte superior que muestra el total de Ausencias Pagadas, Días Compensatorios y Ausencias por enfermedad (tipología establecida en la configuración de los diferentes tipos de ausencias que se definan para cada compañía).
- Desde la sección Todos, podremos ver mediante una vista de calendario todas las ausencias de los trabajadores.

- En Responsables se concentran diferentes pantallas donde gestionar las peticiones de ausencias pendientes de aprobación, las ausencias y asignaciones de todos los empleados y las ausencias para reportar en la nómina (en caso de trabajar con el módulo de nóminas de Odoo).
La idea es que las aprobaciones de las ausencias de los empleados puedan “delegarse” en los responsables de cada departamento o de cada equipo de trabajo, de manera que dichos responsables sólo verán las ausencias de los miembros de su departamento/equipo.
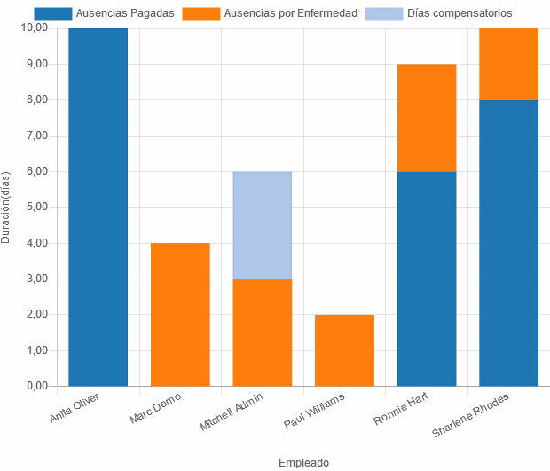
- Desde Informes es posible visualizar informes de ausencias por empleado y tipo. Como siempre, Odoo permite consultar esta información usando gráficos o vistas pivot (tablas que permiten la exportación a Excel de lo presentado por pantalla):

- En Configuración es el lugar donde debe realizarse la parametrización de los distintos tipos de ausencias y actividades, que son el auténtico “corazón” de este módulo. El funcionamiento de ambos conceptos se explica a continuación.
Tipos de Ausencias
Los tipos de ausencias son las diferentes causas que los empleados pueden indicar para informar de una ausencia en su puesto de trabajo. Es decir, típicamente debería existir un tipo de ausencia llamada ‘Vacaciones’ y otra llamada ‘Enfermedad’, por ejemplo.
Para crear un nuevo tipo de ausencia debe pulsar el botón de “Crear”: Odoo mostrará una ventana de configuración desde donde asignar los siguientes valores:
Nombre del tipo de ausencia.
Escoger la unidad de medida de la ausencia (días enteros, medios días u horas ).
Seleccionar la forma en la que se realizará la validación de una solicitud de ausencia (Sin validación, con un responsable concreto y/o el responsable directo de cada empleado.
Seleccionar un modo de asignación. Los valores posibles pueden ser:
Sin Asignación: el tipo de ausencia será “elegible” por cualquier usuario sin necesidad de que previamente exista ninguna acción por parte de un responsable.
Solicitud de Asignación Gratuita: para poder registrar el tipo de ausencia debe existir previamente una asignación de tiempos para ella, que puede ser realizada tanto por personal de RRHH como por parte del propio usuario.
Asignado sólo por RH: solo el personal de recursos humanos podrá asignar los tiempos posibles para este tipo de ausencia.
Indicar una fecha de validez de ese tipo de ausencia. Suele ser útil para acotar las fechas en las que pueden elegirse, por ejemplo, las vacaciones al año en curso.

Además, si activamos el modo desarrollador de Odoo, aparecen dos opciones adicionales:
Indicar el tipo de notificación que se genera para los usuarios de Odoo, tanto para ausencias como asignaciones.
Indicar si se trata de una ausencia que debe mostrarse o no en el calendario de ausencias y su color identificativo.

Tipos de Actividades
Este menú sólo aparece dentro del sub-menú Configuración cuando se activa el modo desarrollador. El propósito de los tipos de actividades es generar recordatorios o acciones vinculadas a eventos relacionados con las ausencias.
Por ejemplo, un trabajador registra una ausencia por vacaciones: una aplicación práctica de uso de actividades sería la creación de una actividad que permita enviar un email al empleado que ha solicitado una ausencia cuando ha recibido su aprobación, por ejemplo.
Por defecto, Odoo crea varias actividades vinculadas a los modelos de Ausencias y de Asignación de Ausencias que pueden modificarse según las necesidades o querencias de cada empresa. Evidentemente, también es posible crear nuevos tipos de actividades.

Las actividades son un elemento introducido por Odoo de manera global a toda la aplicación en la versión 12 y permite generar recordatorios que ayudan al usuario a realizar sus tareas diarias.
Al no tratarse de algo específico del módulo de Ausencias, no vamos a profundizar mucho más en este post, pero para aquel que desee profundizar más en este asunto, recomendamos acceder al siguiente link donde se incluye un video explicativo del funcionamiento general de esta interesante característica de Odoo.
Crear una Solicitud de Ausencia
Una vez establecidos los tipos de ausencias “admitidos” en la empresa (típicamente ‘Enfermedad’, ‘Maternidad/Paternidad’ o ‘Vacaciones 2021’), un empleado podrá crear una solicitud de ausencia seleccionado alguno de los tipos de ausencia creados previamente. Para ello, podrá clickar directamente en el calendario o bien acceder a Mis Ausencias > Solicitud de Nueva ausencia o bien desde Solicitudes de ausencias > Crear.
Tras indicar el tipo de ausencia, las fechas desde y hasta (la duración se calcula automáticamente) y un campo de descripción donde detallar, opcionalmente, más información acerca de la ausencia solicitada:

Según la configuración establecida para el tipo de ausencia, se aprobará de forma automática, será necesaria la aprobación de la misma por parte del administrador de RRHH, o en caso de activar la doble validación, será necesaria una segunda validación.
Crear una Petición de Asignación
Las peticiones de asignación, a diferencia de las ausencias, son solicitudes que los empleados deben realizar para que se les autorice a registrar ausencias de un determinado tipo. Por ejemplo, un empleado puede solicitar que se le amplíen los días que tiene asignados para sus vacaciones pagadas porque ha realizado horas extras.
En este caso, como podemos ver en la siguiente imagen, crearía una petición de asignación y, si está es aprobada, aumentará los días disponibles de Ausencias Pagadas (de 20 a 21 días, en este ejemplo) pudiendo ser solicitados como ausencia.
La creación de una petición de asignación funciona de manera similar que la solicitud de ausencia desde Mis Ausencias > Nueva Solicitud de asignación o también desde Peticiones de asignación > Crear.
Tendremos que indicar una descripción de la petición, el tipo de asignación que queremos solicitar y su duración. Una vez realizada deberá ser aprobada si el tipo de ausencia así lo establece en su configuración.
El proceso de crear las vacaciones disponibles a los empleados típicamente pasa por crear asignaciones del tipo de ausencia “Vacaciones” a todos ellos y por esta razón, desde el sub-menú Responsables > Todos > Asignaciones, la pantalla que se muestra para crear peticiones de ausencias es ligeramente distinta, permitiendo la asignación “masiva” por empleado, por compañía o por departamento, por ejemplo:

Automatizar Acciones Relacionadas con las Ausencias
Podría darse el caso que se quiera, por ejemplo, recibir notificaciones por email cuando una ausencia sea creada ya sea para aprobarla o para realizar una segunda validación. Para ello una buena solución es la creación de acciones automatizadas que se ejecutarán cuando suceda alguna de estas situaciones (en este caso, “vigilaríamos” el cambio de estado de una ausencia).
El primer paso necesario para poder gestionar acciones automatizadas es la instalación del módulo base_automation.
A continuación, hay que acceder a Ajustes > Técnico > Automatización > Acciones automáticas. A modo de ejemplo, vamos a describir el ejemplo comentado anteriormente: queremos notificar por email al administrador que se ha realizado una solicitud de ausencia que requiere aprobación:
1) Al pulsar el botón ‘Crear’ se desplegará la siguiente ventana.

2) En el campo ‘Modelo’ indicaremos el valor “Ausencias”, ya que es el modelo al que queremos aplicar la acción automática.
3) La condición de lanzamiento de la acción será “Al Crear”, ya que es en ese momento cuando se quiere ‘disparar’ la acción.
4) Indicamos que la acción a realizar es de tipo ‘Enviar correo electrónico’ y asignaremos la plantilla del correo electrónico que queremos que se envíe. Si no existe, deberíamos crearla previamente indicándole un nombre, asignar el modelo ‘Ausencias’ como ya hemos hecho anteriormente y completando el contenido del mensaje (Asunto, cuerpo del mensaje, el correo electrónico origen y destinario).
Como lo que se quiere es que el destinatario del correo electrónico destino sea “dinámico”, es decir que sea una persona diferente dependiendo del departamento del empleado que solicita la ausencia, debemos utilizar el Generador dinámico de expresiones: en este caso debería completarse con este valor: ${object.department_id.manager_id.user_id.email} (se enviará el email al encargado del departamento del empleado).
Este artículo ha sido redactado por nuestro asociado BusMan View.
Gestión de Ausencias y Vacaciones